Hier beginnt der Hauptinhalt dieser Seite

Beisaaten im Raps zur Reduktion des Schädlingsdrucks Push-Pull Strategie

Das Projekt "RapsOP" soll zeigen, wie der Einsatz von Begleitpflanzen den Schädlingsbefall im Feld reduzieren kann. Welche positiven Effekte wurden bereits bei anderen Kulturen beobachtet und welche Herausforderungen bestehen noch?

Beisaat in Form eines simulierten Randstreifens aus früher Rapssorte ausgerichtet auf einen "Pull-Effekt" für Frühjahrsschädlinge.
Quelle: Schulte-Filthaut

Der Rapsanbau befindet sich nach einem Tief 2019 erfreulicherweise wieder im Aufwind. Gerade das Auftreten von Schadinsekten beeinflusst den Anbau von Raps regional und saisonal. Im Januar 2024 waren zur Regulierung von Rapsschädlingen 43 Produkte zugelassen. Diese verteilten sich jedoch auf elf Wirkstoffe aus vier Wirkstoffgruppen. Insbesondere gegenüber den Pyrethroiden werden durch das Julius Kühn-Institut jährlich wachsende, resistente Populationen relevanter Schädlinge erfasst. Um die vorhandenen Wirkstoffe zu schonen, ihren Einsatz nach Möglichkeit zu verringern und den integrierten Pflanzenschutz zu fokussieren, ist es notwendig, teils bereits erprobte Methoden zu ändern und unter aktuellen Bedingungen zu testen. Dabei können verschiedene Ziele miteinander verknüpft werden:

Reduktion des Pflanzenschutzmitteleinsatzes

Ob eine ausreichende Schädlingsablenkung gelingt, ist mit Sicherheit standort- und jahresabhängig. Einen Totalverzicht auf die chemischen Alternativen sichern Beisaaten nicht ab. Aber sie haben laut Literatur das Potential an Standorten mit geringem Druck die Menge der eingesetzten Insektizide zu reduzieren.

Vermeidung von Resistenzen diverser Schädlinge

Resistenzen gegenüber den verfügbaren Insektiziden treten in allen Rapsschädlingen auf, teils mit deutlichen, lokalen Schwerpunkten. Die Vermeidung einer Ausbreitung muss das oberste Ziel sein. Außerdem müssen Wege gefunden werden, auch auf resistente Populationen einen Einfluss auszuüben, um einen nachhaltigen Rapsanbau zu gewährleisten.

Diversifizierung des integrierten Pflanzenschutzes

Als nicht-chemische, biotechnische Alternative sind Beisaaten mit den entsprechenden Effekten Bausteine des integrierten Pflanzenschutzes. Sie können damit einen Beitrag leisten, rechtliche Vorgaben und allgemeine Ziele hinsichtlich eines nachhaltigen Pflanzenschutzes zu erfüllen. Beisaaten werden dabei insbesondere in England als wichtiger Baustein betrachtet.

Beisaat in Form eines ausgesähten Gemenges aus Raps und Gartenkresse, ausgerichtet auf einen "Pull-Effekt" für den Rapserdfloh.
Quelle: Schulte-Filthaut

Das Projekt „Raps-OP“ (Opferpflanzen) beschäftigt sich mit den Herausforderungen rund um Schadinsekten. Dabei werden Beisaaten beziehungsweise Begleitpflanzen, im Englischen „Nurse-Crops“ oder „Service-Plants“, genutzt. Der englische Begriff verrät es, die Beisaaten sollen einen positiven Effekt auf den Schaderregerdruck der eigentlichen Kulturpflanze haben. Der Kenntnisstand über ihre Effekte und ihren Nutzen wird dabei von Jahr zu Jahr konkreter. Es handelt sich bezogen auf die Schädlinge um eine „Push-Pull Strategie“, in welcher Schädlinge abgelenkt oder aber zu bestimmten Pflanzen hingezogen werden sollen.

Die Versuche finden über 3 Vegetationsperioden von 2021 - 2024 statt und werden von der Fachhochschule Südwestfalen durch Prof. Dr. Haberlah-Korr am  Standort Soest koordiniert. Es gibt verschiedene Versuchsstandorte im Norden, Westen und Osten von Deutschland.

Positive Effekte durch Beisaaten

Deutliche Schädigung einer Rübsenpflanze durch den Rapserdfloh im Versuchsfeld.
Quelle: Schulte-Filthaut

Korrekt ausgewählte Beisaaten können die Insekten „fordern“. Bezüglich Schädlingen ist dies ein erwünschter Effekt. Die Schädlinge sind „herausgefordert“, den Raps überhaupt als solchen zu erkennen. Es handelt sich dabei um den „Push“-Effekt. Beisaaten können den Raps folglich unattraktiv wirken lassen oder aber attraktiver sein als der Raps selbst. Dabei handelt es sich um den „Pull“-Effekt. So werden Schädlinge entweder ferngehalten oder befallen gezielt die alternativen Pflanzen.

In Frankreich, England und der Schweiz werden seit einigen Jahren durch zunehmende Resistenzprobleme Alternativen zur chemischen Bekämpfung gesucht. Dabei wurde auf eine Vielzahl an Kulturpflanzen zurückgegriffen. Ackerbohnen, sofern sie im Winter nicht durch Schneelasten niedergedrückt werden, können den Befall mit Frühjahrsschädlingen reduzieren. Besonders gefleckter Kohltriebrüssler und Rapsstängelrüssler werden durch die Bohnen vom Raps ferngehalten. In Frankreich wurden darüber hinaus reduzierende Effekte auf den schwarzen Kohltriebrüssler festgestellt. Dies macht Hoffnung für die Ausbreitungsgebiete dieses Schädlings in Deutschland. Im Rahmen dieser Studie konnte festgestellt werden, dass Linsen als Beisaatpartner auch eine negative Auswirkung auf den schwarzen Kohltriebrüssler haben.

Schnell wachsender Buchweizen scheint eine Art Schirm zu bilden, welcher den Erdfloh vom Raps abhalten kann. Besonders in England kann dies in der Praxis beobachtet werden.

Auch Kleearten wurden vielfältig getestet. Alexandrinerklee beugt Lochfraß durch Rapserdflöhe vor, wie es auch Weißklee kann. Dieser sollte jedoch vor dem Raps als „Lebendmulch“ kultiviert werden und der Raps folgt dann zum Beispiel in Striptill. Bockshornklee wird genutzt, da dessen aromatische Düfte den Erdfloh zum Meiden der Fläche bringen können.

Im deutschsprachigen Raum wurden in der Vergangenheit immer wieder Rübsen getestet. Die Effekte sind hier überwiegend bei Erdflöhen und Rapsglanzkäfern zu beobachten, zum Beispiel eine Verminderung des Lochfraßes. Anlehnend an diese Beobachtungen wurden in den „Raps-OP“-Versuchen auch Senf, Markstammkohl und Gartenkresse integriert, um die Effekte auf Rapsschädlinge zu untersuchen. Der Anbau des Kreuzblütlers birgt aber neben Verunkrautung weitere phytosanitäre Gefahren wie zum Beispiel Kohlhernie oder Sclerotinia.

Versuchsvarianten und Standorte von Raps-OP

An der Fachhochschule Südwestfalen werden seit 2018 in Kooperation mit dem Julius Kühn-Institut und der Firma Feldsaaten Freudenberger Versuche zu Beisaaten und Randstreifen, zwecks Ablenkung der Rapsschädlinge vom Rapsbestand, vorgenommen. Dabei wurden und werden die folgenden Varianten getestet:

Variante Beisaat-Kultur Zielorganismus
Raps - -
Raps mit konventionellem Pflanzenschutz - -
Raps und früher Raps (Mischung) früher Raps Frühjahrsschädlinge
Raps und Rübsen (Mischung) Winterrübsen Herbstschädlinge
Raps und Leindotter (Mischung) Leindotter Rapserdfloh
Raps und Gemenge (Mischung) Weißklee, Öl-Lein, Boxhornklee, Gartenkresse, Buchweizen Rapserdfloh
Raps und früher Raps (Rand) früher Raps Frühjahrsschädlinge
Raps und Gemenge (Rand) Senf, Markstammkohl, Rübsen Frühjahrsschädlinge und Herbstschädlinge

Die Standorte verteilten sich auf die Versuchsstationen der Kooperationspartner FH-Südwestfalen mit Standort Merklingsen und des Julius Kühn-Institutes mit Standort Wolfenbüttel sowie auf drei externe Exaktversuche in Mecklenburg-Vorpommern.

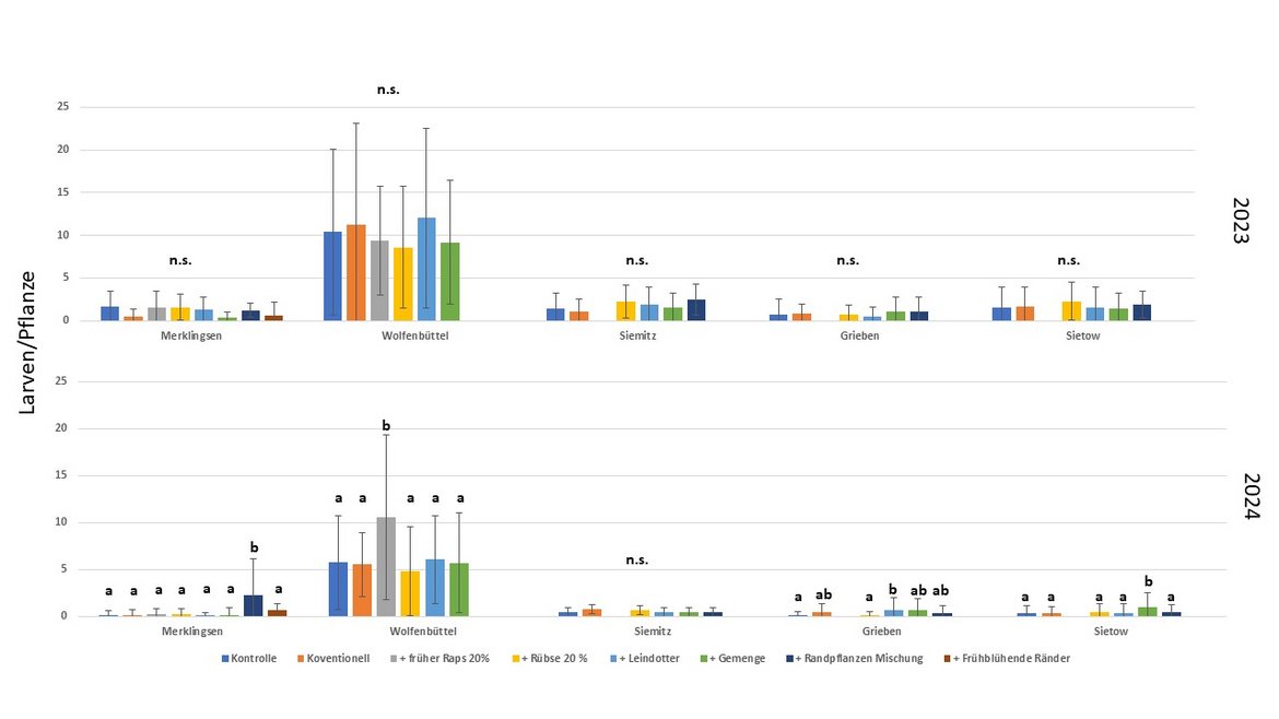
Ergebnisse

Die Ergebnisse der Feldversuche über die Jahre 2021-2024 an fünf verschiedenen Standorten fallen insgesamt gemischt aus.

Für die Reduktion der Rapserdflohlarven lagen schwierige Bedingungen vor, da der Druck durch den Schädling insgesamt nicht allzu hoch war. Die Schadschwelle von 5 Larven/Pflanze wurde selbst in den unbehandelten Kontrollen nur insgesamt fünf Mal erreicht. Eine gesicherte Reduktion durch die verschiedenen Varianten über Standorte und Jahre konnte nicht nachgewiesen werden, wenn es auch Jahre, Varianten und Standorte in Kombinationen gab, wo der Effekt sehr deutlich auftrat. 

Ein ähnliches Bild zeigt sich für den Befall mit Larven von geflecktem Kohltriebrüssler und großem Rapsstängelrüssler. Reduktionen konnten signifikant nur auf geringem Befallsniveau erreicht werden, mitunter besteht die Gefahr, dass z.B. die Beimischung von frühem Raps auch einen negativen Effekt erzielen kann.

Über alle Versuche hinweg zeigt sich jedoch auch, dass der Einsatz von Beisaaten oder Fangstreifen signifikant keine Ertragsunterschiede herbeigeführt hat.

Fazit und Ausblick

Rapsbeisaaten können aus der Literatur heraus eine Vielzahl an positiven Effekten erwirken. Dabei darf man keine Wunder erwarten, die Wirkungen auf Boden/Nährstoffe, Unkräuter und Insekten sind von ihrer Intensität und dem Jahr stark abhängig. Die Wahl der Komponenten, Aussaatzeitpunkt und Technik sind dabei entscheidend für den Erfolg am jeweiligen Standort. Für die Reduktion des Befalls mit Schädlingen lässt sich folgendes Fazit ziehen:

  • Beisaaten ersetzten in diesem Versuch Insektizide nicht verlässlich,
  • Rapsstängelrüssler/gefleckter Kohltriebrüssler: traten nur in Wolfenbüttel 2-jährig relevant auf und wurden durch die durch die Beimengung von frühem Raps gefördert,
  • Der Rapsertrag wurde durch Beisaaten nicht signifikant beeinflusst.

Insgesamt zeigt sich kein einheitliches Bild zur Wirksamkeit der hier getesteten Beisaaten – Sie sind trotzdem eine wertvolle, vorbeugende Maßnahme des integrierten Ackerbaus.

Letzte Aktualisierung am 30.10.2025

Für weitere Informationen:

Dr. agr. Lukas Schulte-Filthaut - Universität Bonn, Institut für Nutzpflanzenwissenschaften und Ressourcenschutz

Prof. Dr. agr. Verena Haberlah-Korr - Fachhochschule Südwestfalen, Fachbereich Agrarwirtschaft Soest

Das könnte Sie auch interessieren

Weitere Informationsangebote